Thấu Kính Hội Tụ? Cách vẽ, Công Thức, Bài Tập Áp Dụng
25/06/2023 - admin
Chuyên đề thấu kính hội tụ là chuyên đề quan trọng thường gặp trong các bài thi của các em. Bài viết sau sẽ giúp các em nắm rõ về thấu kính hội tụ là gì? Cách vẽ thấu kính, công thức, bài tập áp dụng. Cùng theo dõi ngay!
Lý thuyết cần nắm
1. Thấu kính hội tụ là gì?
Thấu kính hội tụ là một khối chất trong suốt, đồng chất (thường làm bằng thủy tinh), có phần rìa mỏng hơn phần giữa, được giới hạn bởi hai mặt lồi hoặc một mặt lồi và một mặt phẳng.

Đây là thấu kính mà chùm tia sáng sau khi đi qua kính sẽ hội tụ tại một điểm.
2. Đặc điểm của thấu kính hội tụ
2.1 Hình dạng thấu kính hội tụ

Thấu kính có màu trong suốt, với phần rìa mỏng hơn phần giữa. Chúng thường được giới hạn bởi hai mặt cầu hoặc một mặt phẳng và một mặt cầu.
2.2 Tia sáng qua thấu kính hội tụ
- Tia sáng đi tới thấu kính gọi là tia tới, còn tia ló là tia khúc xạ khỏi thấu kính.
- Tia tới đến quang tâm thì tia ló tiếp tục truyền thẳng theo phương của tia tới.
- Tia tới song song với trục chính thì tia ló qua tiêu điểm.
- Tia tới đi qua tiêu điểm thì tia ló song song với trục chính.
2.3 Hình ảnh qua thấu kính hội tụ

Một đặc điểm đặc trưng của thấu kính hội tụ là tạo ra hình ảnh nghịch đảo so với đối tượng ban đầu. Điều này xảy ra do dòng tia sáng giao điểm và chéo nhau sau khi đi qua thấu kính.
3. Trục chính, quang tâm, tiêu điểm, tiêu cự của thấu kính hội tụ
3.1 Trục chính của kính hội tụ
Trục chính của một thấu kính hội tụ là đường thẳng đi qua tâm của thấu kính và vuông góc với mặt phẳng chính của thấu kính. Trục chính cũng được gọi là trục quang hoặc trục chính quang của thấu kính.
Khi ánh sáng đi qua thấu kính hội tụ song song với trục chính, nó sẽ tiếp tục đi thẳng qua thấu kính mà không bị lệch. Tuy nhiên, khi ánh sáng đến từ một góc khác, nó sẽ bị lệch và tập trung vào một điểm sau thấu kính, điểm hội tụ.

3.2 Quang tâm của thấu kính
Quang tâm của một thấu kính hội tụ nằm trên trục chính của thấu kính. Đối với một thấu kính hội tụ mỏng, quang tâm được định nghĩa là điểm trên trục chính mà tia sáng đi qua mà không bị lệch.
Khi ánh sáng song song đi vào thấu kính, nó sẽ tập trung và đi qua quang tâm sau khi đi qua thấu kính. Điều này có nghĩa là tất cả các tia sáng đi qua quang tâm sẽ giao điểm tại một điểm sau thấu kính, gọi là điểm hội tụ.

3.3 Tiêu điểm, tiêu cự của thấu kính hội tụ
Tiêu điểm của thấu kính hội tụ là điểm trên trục chính của thấu kính, nơi mà tia sáng song song đến sẽ tập trung sau khi đi qua thấu kính. Điểm này cũng được gọi là điểm hội tụ hoặc điểm tiêu.
Tiêu cự của một thấu kính hội tụ là khoảng cách từ tiêu điểm đến trung điểm của thấu kính. Kí hiệu của tiêu cự thường là f hoặc f’. Trong trường hợp thấu kính mỏng, tiêu cự có thể được xác định dễ dàng và có thể đo bằng cách đo khoảng cách từ tiêu điểm đến trung điểm của thấu kính.
Cách vẽ thấu kính hội tụ
- B1: Vẽ trục chính nằm ngang ký hiệu là (△).
- B2: Dựng thấu kính vuông góc với trục chính. Điểm đi qua quang tâm ký hiệu là (O)
- B3: Vẽ chùm tia tới song song với trục chính của thấu kính hội tụ. Tiêu điểm chính là chùm tia ló hội tụ tại 1 điểm trên trục chính.
- B4: Xác định tiêu điểm chính là hai điểm nằm trên trục chính cách thấu kính một khoảng và đối xứng với tiêu điểm F bên này ta có tiêu điểm F’ bên kia của thấu kính.

Xác định ảnh thật và ảnh ảo của thấu kính hội tụ
1. Xác định ảnh thật
Nếu vật thể đặt ở vị trí xa hơn so với tiêu điểm của thấu kính, ảnh được tạo ra sẽ xuất hiện ở phía sau thấu kính. Ảnh thật là khi ánh sáng thực sự gặp nhau sau thấu kính. Để xác định vị trí của ảnh thật, bạn có thể vẽ các tia sáng từ vật thể đi qua thấu kính và sau đó họp lại sau thấu kính.
2. Xác định ảnh ảo
Nếu vật thể đặt ở vị trí gần hơn so với tiêu điểm của thấu kính, ảnh được tạo ra sẽ xuất hiện ở phía trước thấu kính. Ảnh ảo là khi các tia sáng giả định gặp nhau trước khi gặp thấu kính. Để xác định vị trí của ảnh ảo, bạn có thể vẽ các tia sáng từ vật thể đi qua thấu kính và sau đó phân rã và hướng đi ngược lại.
Công thức tính thấu kính
1. Công thức liên hệ giữa vị trí của vật, vị trí của ảnh và tiêu cự của thấu kính

Quy ước về dấu:
-
Thấu kính hội tụ: f > 0
-
Thấu kính phân kỳ: f < 0
-
Ảnh là thật: d’ > 0
-
Ảnh là ảo: d’ < 0
-
Vật là thật: d > 0
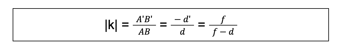
2. Công thức số phóng đại của thấu kính

Qui ước dấu:
- k > 0: ảnh và vật cùng chiều
- k < 0: ảnh và vật là ngược chiều
Công thức tính độ tụ của thấu kính
Trong đó:
- n: chiết suất của chất làm thấu kính
- R1; R2: bán kính của các mặt cong (R = ∞ cho trường hợp mặt phẳng) (m)
- D: độ tụ của thấu kính (dp đọc là điốp)
- f: tiêu cự của thấu kính (m)
Bài tập vận dụng
Bài tập 1
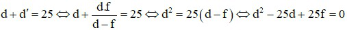
Một thấu kính hội tụ có tiêu cự 6 cm. Vật sáng AB là một đoạn thẳng đặt vuông góc trục chính của thấu kính cho ảnh cách vật 25 cm. Xác định vị trí vật và ảnh.
Lời giải
![]()
Bài tập 2
Một vật sáng AB có dạng mũi tên đặt vuông góc trục chính của thấu kính hội tụ cho ảnh thật cao 12 cm, cách thấu kính 30 cm. Thấu kính có tiêu cự 10 cm.
Xác định kích thước và vị trí của vật
Lời giải

Bài tập 3
Một điểm sáng S đặt trên trục chính của thấu kính hội tụ, tiêu cự f = 15 cm cho ảnh rõ nét trên màn M đặt vuông góc với trục chính của thấu kính. Di chuyển điểm sáng S về gần thấu kính đoạn 5 cm so với vị trí cũ thì màn phải dịch chuyển đi 22,5 cm mới lại thu được ảnh rõ nét.
a) Hỏi màn phải dịch chuyển ra xa hay lại gần thấu kính, vì sao?
b) Xác định vị trí điểm sáng S và màn lúc đầu.
Lời giải
a) Gọi d và d’ là khoảng cách từ điểm sáng S và màn đến thấu kính.
+ Ta có: Các dạng bài tập về thấu kính và cách giải hay, chi tiết không đổi (với d và d’ đều dương)
+ Khi S di chuyển về gần thấu kính tức d giảm thì d’ phải tăng. Vậy màn phải ra xa thấu kính.
b) Vị trí S và màn lúc đầu:
+ Ứng với vị trí đầu của S và màn ta có: Các dạng bài tập về thấu kính và cách giải hay, chi tiết (1)
+ Ứng với vị trí sau của S và màn ta có: Các dạng bài tập về thấu kính và cách giải hay, chi tiết (2)
+ Vì S dịch là gần thấu kính nên: d2 = d1 – 5
+ Thay vào (2) ta có: Các dạng bài tập về thấu kính và cách giải hay, chi tiết (3)
+ Vật dịch lại gần thì ảnh dịch ra xa nên: d’2 = d’1 + 22,5 (*)
+ Thay (1) và (3) vào (*) ta có: Các dạng bài tập về thấu kính và cách giải hay, chi tiết
+ Biến đổi ta có: d12 – 35d1 + 250 = 0 ⇒ d1 = 25cm và d1 = 10cm
+ Vì ảnh trên màn là ảnh thật nên d1 > f = 15 (cm) nên chọn nghiệm d1 = 25 (cm)
+ Từ (1) ta có: d’1 = 37,5cm.
Lời kết
Trên đây là toàn bộ kiến thức về thấu kính hội tụ? cách vẽ, công thức, bài tập áp dụng mà các em cần nắm bắt. Hãy nắm chắc lý thuyết và công thức cơ bạn trước khi làm bài tập để đạt hiệu quả cao. Chúc các em áp dụng hiệu quả và học tập tốt trong môn vật lý lớp 9!
