Các công thức biến đổi căn bậc hai kèm bài tập vận dụng chi tiết
15/09/2023 - admin
Trong chương 1 toán lớp 9 nội dung chính những em được học về căn thức bậc hai, bậc 3. Để vận dụng giải được những bài tập về căn thức này điều bắt buộc là chúng ta phải nhớ được những công thức. Bài viết này của trường cấp 3 Lê Hồng Phong sẽ cùng các bạn học sinh ôn lại các công thức biến đổi căn thức bậc hai và vận dụng những công thức này để giải những bài tập minh họa. Cùng xem ngay nhé!

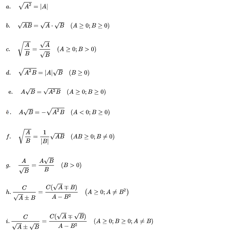
Tổng hợp công thức biển đổi căn bậc 2

Như vậy ở trên là các công thức biến đổi căn thức bậc 2, các em lưu ý rằng: các biểu thức trong căn bậc 2 phải không âm, chính vì vậy mà mỗi công thức trên nếu có các điều kiện đi kèm các em cần phải ghi nhớ để tránh phép biến đổi của mình bị sai.
Một số bài tập áp dụng giải căn bậc 2
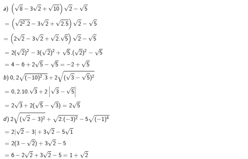
Bài tập 1: Tìm các giá trị của biểu thức sau bằng biến đổi, rút gọn thích hợp

Đáp án:

Bìa tập 2: Rút gọn các biểu thức sau

Đáp án:

Bài tập 3: Rút gọn rồi tính giá trị của các biểu thức

Đáp án:

Bài tập 4: Tìm x, biết

Bài tập 5:

Như vậy việc vận dụng các công thức biến đổi căn thức bậc hai giúp chúng ta giải một số dạng bài tập về rút gọn biểu thức, tính giá trị của biểu thức chứa căn bậc hai một cách dễ dàng hơn. Cũng cần lưu ý rằng đối với 1 biểu thức khi rút gọn chúng ta có thể vận dụng các phép biến đổi khác nhau, tuy nhiên kết quả rút gọn cuối cùng phải giống nhau.
Cảm ơn bạn đọc đã quan tâm và theo dõi bài viết của trường cấp 3 Lê Hồng Phong. Nếu thấy hay và bổ ích, đừng quên chia sẻ với bạn bè của mình nhé!
