Bài tập rút gọn biểu thức chứa căn thức bậc hai toán lớp 9
29/07/2023 - admin
Rút gọn biểu thức chứa căn bậc hai là một trong những phần kiến thức căn bản mà học sinh lớp 9 cần chú ý, sẽ xuất hiện nhiều trong phần bài tập. Nếu học sinh còn chưa nắm rõ phần này thì cùng THPT Lê Hồng Phong giải những bài tập sau đây để hiểu sâu hơn nhé!
Bài tập rút gọn biểu thức chứa căn thức bậc hai
Để làm bài tập hiệu quả thì trước hết các em cần nắm chắc phần lý thuyết của bài này
Tham khảo bài viết Cách rút gọn biểu thức chứa căn thức bậc hai
Dưới đây là phần bài tập có trong SGK Toán 9 được tổng hợp lại
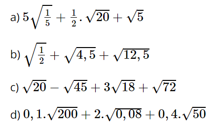
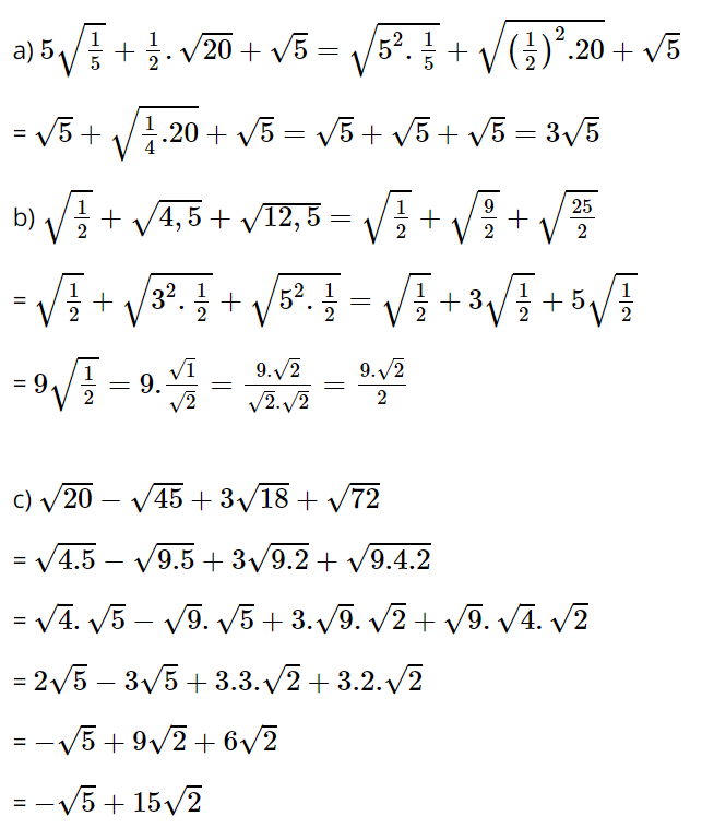
Bài 58: Rút gọn các biểu thức sau:

Lời giải:


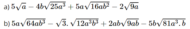
Bài 59: Rút gọn các biểu thức sau (với a > 0, b > 0):

Lời giải:

Bài 60: Cho biểu thức
với x ≥ -1.
a) Rút gọn biểu thức B;
b) Tìm x sao cho B có giá trị là 16.
a) Rút gọn:
Lời giải:
b) Để B = 16 thì:
⇔ x + 1 = 16 ⇔ x = 15 (thỏa mãn x ≥ -1)
Bài 61: Chứng minh các đẳng thức sau:
Lời giải:
a) Biến đổi vế trái:
b) Biến đổi vế trái:
