Sự Phụ Thuộc Của Điện Trở Vào Chiều Dài Dây Dẫn
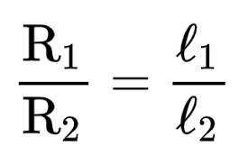
Bài viết hôm nay nhằm ôn lại cho các em kiến thức về Sự phụ thuộc của điện trở vào chiều dài dây dẫn. Bài viết bao gồm lý thuyết và lời giải chi tiết cho các bài tập trong sách giáo khoa. Lý thuyết về sự phụ thuộc của điện trở vào chiều dây…
