Căn thức bậc hai và hằng đẳng thức toán 9 trọn bộ và bài tập ví dụ
10/06/2023 - admin
Ngày hôm nay chúng ta hãy cùng tìm hiểu về căn thức bậc hai và hằng đẳng thức bậc hai. Đây cũng là phần kiến thức nằm trong phần kiếm thức cơ bản của Toán đại số lớp 9.

Chi tiết về Căn thức bậc hai và hằng đẳng thức toán 9
Căn thức bậc hai là gì? Định nghĩa, tính chất? Hằng đẳng thức? Ví dụ minh họa? Bài viết này sẽ trả lời những câu hỏi trên.
1. Lý thuyết về Căn thức bậc hai
A) Định nghĩa
Với A là một biểu thức đại số,
người ta gọi là căn thức bậc hai của A, còn A được gọi là biểu thức lấy căn hay biểu thức dưới căn.
Căn bậc hai của một số a là một số x sao cho
= a, hay nói cách khác là số x mà bình phương lên thì bằng a
B) Điều kiện để căn thức có nghĩa
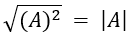
2. Hằng đẳng thức
A) Định nghĩa
Để có thể khai căn một biểu thức, ta sử dụng hằng đẳng thức sau: ![]()
B) Một số công thức biến đổi

2. Một số dạng bài tập thường gặp về căn thức bậc hai và hằng đẳng thức
Dạng 1: Rút gọn các biểu thức số
* Một số chú ý khi làm dạng toán 1:
Nhận xét biểu thức trong căn. Phán đoán phân tích nhanh để đưa ra hướng làm cho loại toán:
+ Vận dụng các phép biến đổi một cách hợp lý và thành thạo.
+ Phân tích các biểu thức số phù hợp để vận dụng được các phép biến đổi
+ Luôn chú ý tới dấu hiệu chia hết để thuận tiện cho việc phân tích
+ Triệt để sử dụng các phép biến đổi căn thức như: Nhân, chia hai căn thức bậc hai, đưa thừa số vào trong hay ra ngoài dấu căn, khử mẫu của căn thức, trục căn thức ở mẫu…
Dạng 1.1: Sử dụng các phép biến đổi đơn giản: Nhân, chia căn bậc hai; đưa thừa số ra ngoài, vào trong dấu căn; khử mẫu biểu thức lấy căn để làm xuất
hiện căn thức đồng dạng.
* Lưu ý thêm:
– Thực hiện phép biến đổi đơn giản căn thức bậc hai để làm xuất hiện các căn thức đồng dạng.
Ví dụ 1: Rút gọn các biểu thức sau:

Dạng 1.2: Đưa biểu thức dưới dấu căn về dạng bình phương một tổng hoặc hiệu.
* Lưu ý thêm: Hướng dẫn học sinh để làm mất dấu căn ta đi biến đổi biểu thức dưới dấu căn thành bình phương của một tổng hoặc bình phương của một hiệu nhờ hằng đẳng thức
để áp dụng được hằng đẳng thức ![]()
Ví dụ 2: Rút gọn các biểu thức sau:

Dạng 1.3: Rút gọn biểu thức chứa căn thức bằng cách trục căn thức hoặc quy đồng:
Lưu ý: Tùy từng bài mà ta có thể trục căn thức ở mẫu hoặc quy đồng hoặc rút gọn từng số hạng
Ví dụ 3: Rút gọn các biểu thức sau:



Dạng 2: CÁC BÀI TOÁN LIÊN QUAN ĐẾN GIÁ TRỊ BIỂU THỨC SAU KHI RÚT GỌN
* CÁC BƯỚC THỰC HIỆN:
Bước 1: Tìm điều kiện để biểu thức có nghĩa (căn thức xác định, mẫu khác không… nếu bài toán chưa cho)
Bước 2: Rút gọn biểu thức đã cho
Lưu ý:
+ Áp dụng quy tắc đổi dấu một cách hợp lý để làm xuất hiện mẫu thức chung
+ Thường xuyên để ý xem mẫu này có là bội hoặc ước của mẫu khác không.
Bước 3: Sử dụng kết quả rút gọn để giải quyết các bài toán liên quan đến giá trị của biểu thức ( luôn phải chú ý đến điều kiện xác định).




3. Bài tập tự luyện

![]()



